相关图¶
点线相关图是一类用于展示两个变量之间相关关系的可视化图形,通常在图中绘制每个样本的一对变量值作为点,并通过拟合线、相关系数和显著性标注来体现它们的相关程度。 它是探索变量之间线性或非线性关系的常用方法,尤其在科学研究和数据分析中非常常见。
plot_correlation_figure 提供了简洁易用的点线相关图功能,能够自动绘制变量散点、拟合线,可以计算并显示 Spearman 或 Pearson 两种相关系数(默认计算 Spearman 相关性)。
同时,plot_correlation_figure 会根据显著性水平自动标注 *、** 或 ***,帮助用户快速判断相关性是否显著,适合用于科研图表、演示幻灯片或论文插图中。
快速出图¶
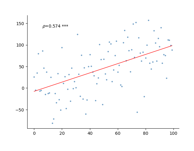
假如我们有两组样本数量一致的数据(每组包含 100 个样本),我们希望通过绘图直观展示它们之间是否存在相关性。 这通常可以通过点线相关图来实现,将每对样本值绘制为散点,并结合拟合线和相关系数,判断变量之间的相关程度及显著性。
import numpy as np
import matplotlib.pyplot as plt
from plotfig import plot_correlation_figure
np.random.seed(42)
data1 = np.arange(100)
data2 = data1 + np.random.normal(1,50, 100)
# data2是在data1的基础上加上了噪声。
# 正经人都知道data1和data2相关,那么plotfig知不知道呢?
ax = plot_correlation_figure(data1,data2)

hexbin图¶
利用 hexbin=True 。我们可以展示大量散点分布的密度,而不需要绘制所有的散点。
import numpy as np
import matplotlib.pyplot as plt
from plotfig import plot_correlation_figure
np.random.seed(42)
n = 100_000
data1 = np.random.standard_normal(n)
data2 = 2.0 + 3.0 * data1 + 4.0 * np.random.standard_normal(n)
fig, (ax1, ax2) = plt.subplots(1, 2, figsize=(7, 3), layout="constrained")
ax1 = plot_correlation_figure(
data1,
data2,
ax=ax1
)
hb = plot_correlation_figure(
data1,
data2,
ax=ax2,
hexbin=True,
hexbin_cmap="Reds",
hexbin_gridsize=30
)
cb = fig.colorbar(hb, ax=ax2, label='counts')

参数设置¶
全部参数见plot_correlation_figure的 API 文档。
import numpy as np
import matplotlib.pyplot as plt
from plotfig import plot_correlation_figure
np.random.seed(42)
data1 = np.arange(100)
data2 = data1 + np.random.normal(1, 50, 100)
# data2是在data1的基础上加上了噪声。
# 正经人都知道data1和data2相关,那么plotfig知不知道呢?
fig, ax = plt.subplots()
dots_color = ["blue"] * 10 + ["orange"] * 20 + ["green"] * 30 + ["red"] * 40
dots_edgecolor = ["red"] * 10 + ["blue"] * 20 + ["orange"] * 30 + ["green"] * 40
dots_size = [10] * 10 + [50] * 20 + [90] * 30 + [130] * 40
ax = plot_correlation_figure(
data1,
data2,
stats_method="spearman",
ci=True,
dots_color=dots_color,
dots_edgecolor=dots_edgecolor,
dots_size=dots_size,
line_color="pink",
title_name="Correlation between data1 and data2",
title_fontsize=10,
title_pad=20,
x_label_name="Data1",
y_label_name="Data2",
xlim=(-10, 120),
ylim=(-100, 200),
)
